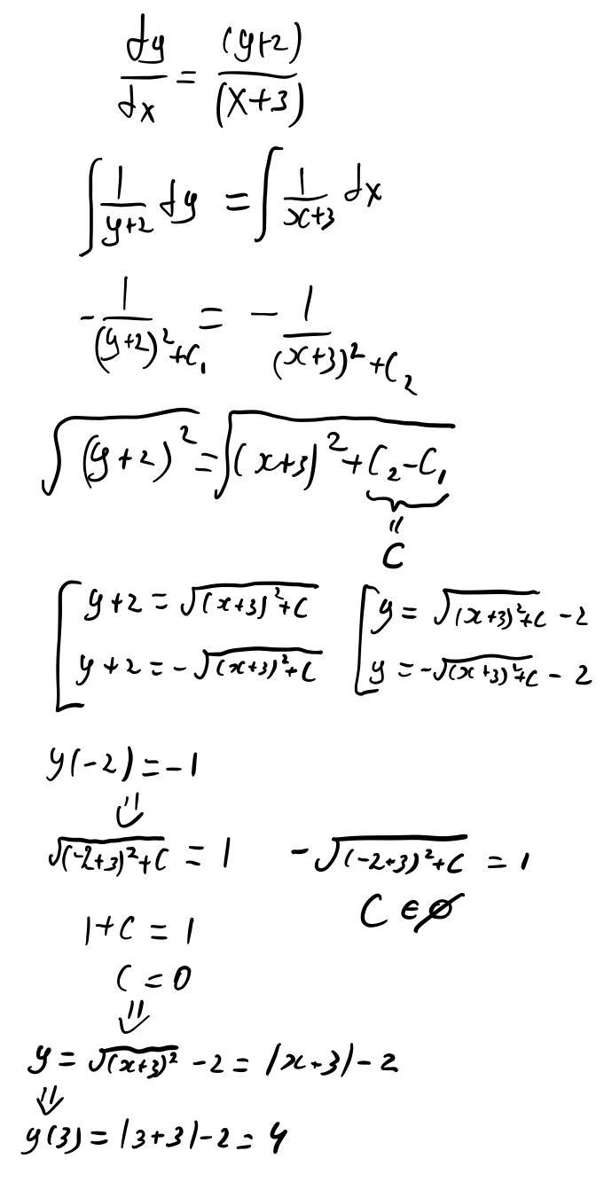
Если y(x) решение дифференциального уравнения y'=(y+2)/(x+3) удовлетворяющее условию y(-2)= -1,тогда у(3) равно.. Чему равно?
Ответы
Ответ дал:
1
Ответ:
Объяснение:
Решение находится в приложенном файле
Приложения:

Вас заинтересует
2 года назад
2 года назад
7 лет назад
7 лет назад
9 лет назад