ПОМОГИТЕ ОЧЕНЬ НУЖНО сформулируйте и запишите основное уравнение распределения массы , плотности и давления для планет ..
Ответы
Ответ дал:
0
Ответ:
Объяснение:
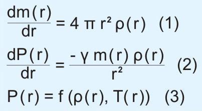
из трех уравнений для функций m(r) - масса в пределах радиуса r, P(r) - давление на расстоянии r от центра, p(r) - плотность сферической планеты на расстоянии r от центра:
Приложения:

Вас заинтересует
2 года назад
2 года назад
2 года назад
2 года назад
9 лет назад