• Предмет: Математика
  • Автор: kenzebaevaajnur0
  • Вопрос задан 3 года назад

Помогите решить уравнения ​

Приложения:

Ответы

Ответ дал: binamaksimchuk
0

Ответ:

х=3

Пошаговое объяснение:

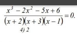
х³-2х²-5х+6=0

(х-3)(х-1)(х+2)=0

х-3=0

х=3

х-1=0

х=1 - не подходит по ОДЗ

х+2=0

х= -2 - не подходит по ОДЗ

ОДЗ:

х≠ -2

х≠ -3

х≠ 1

Вас заинтересует