• Предмет: Математика
  • Автор: alinahachoyanka
  • Вопрос задан 3 года назад

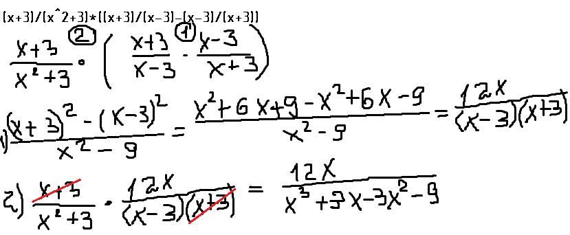
(x+3)/(x^2+3)*((x+3)/(x-3)-(x-3)/(x+3)) Помогите

Ответы

Ответ дал: lakOR555
2

Ответ:

см фото

Пошаговое объяснение:

Приложения:

lakOR555: ++
Вас заинтересует