• Предмет: Математика
  • Автор: kakazuzu333
  • Вопрос задан 3 года назад

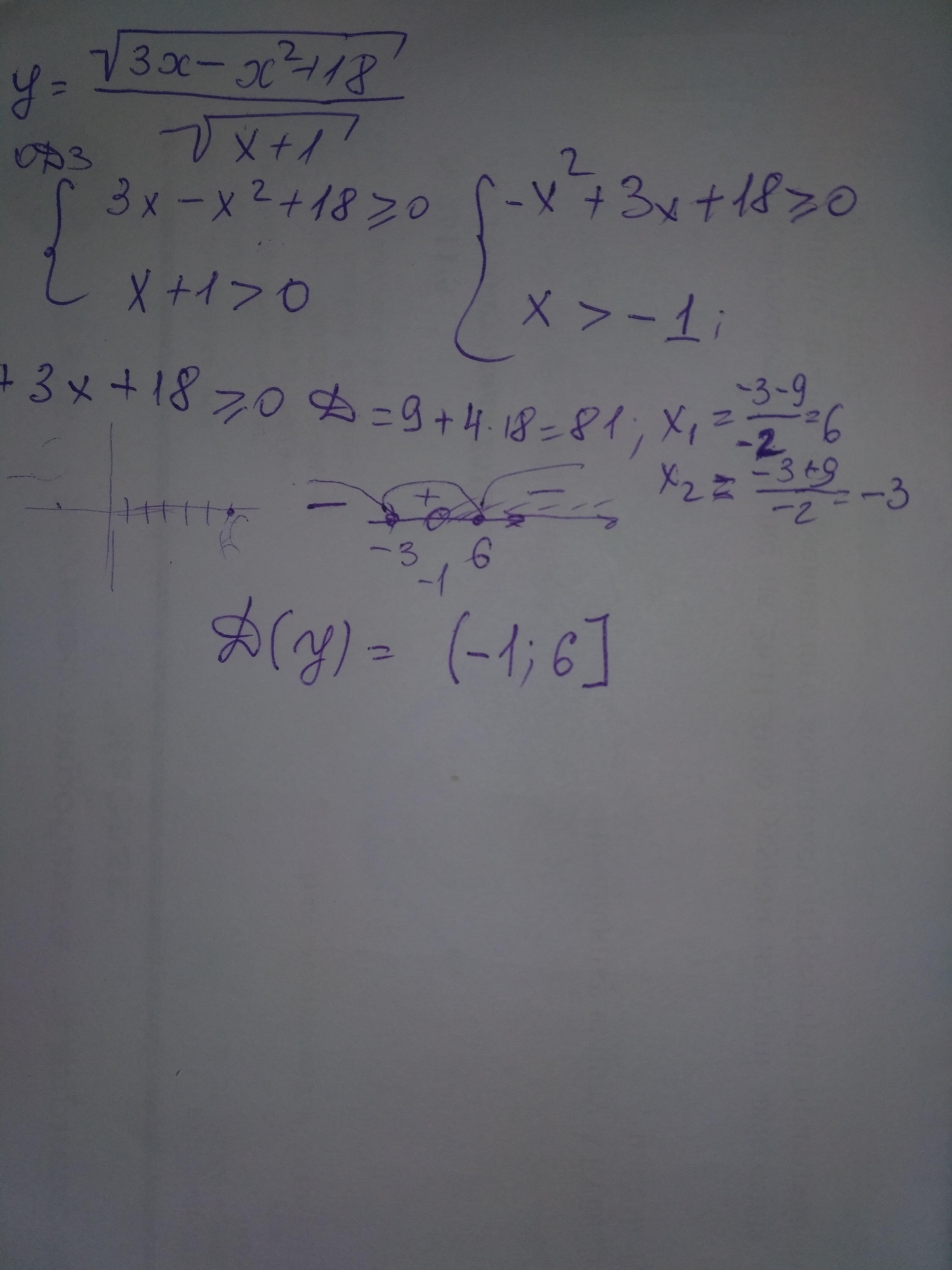
Найти область определения функции(решение) Задание картинкой

Приложения:

Ответы

Ответ дал: vityamath
0

Ответ:

Пошаговое объяснение:

Приступлю к решению:

[3x-x²+18≥0   ⇒  [-x²+3x+18≥0     ⇒   x²-3x-18≤0

[x+1>0            ⇒    x>-1                   ⇒    x>-1

x²-3x-18≤0

x²-3x-18=0

По Виета:

x1=6

x2=-3

x∈(-1;6]

Приложения:

ehhehdnx: Помоги мне пожалуйста
Ответ дал: 68tata
0

Ответ: 3.

D(f)= (-1;6]

Решение в файле:

Приложения:
Вас заинтересует