• Предмет: Математика
  • Автор: sayokaaa
  • Вопрос задан 3 года назад

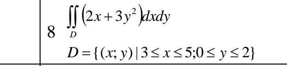
интеграл ..........​

Приложения:

Ответы

Ответ дал: igorShap
1

Ответ:

Пошаговое объяснение:в приложении

Приложения:
Вас заинтересует