• Предмет: Алгебра
  • Автор: tarasdrozd2004
  • Вопрос задан 3 года назад

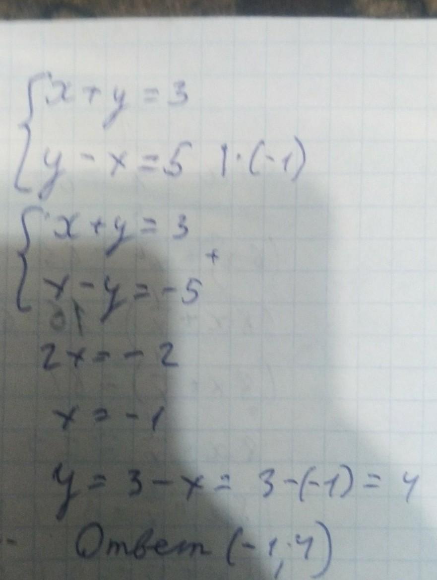
помогите пожалуйста, 10 баллов. Укажіть спільну точку графіків функцій x + y = 3 та y−x = 5.
А) (4; – 1); Б) (– 4; 1); В) (– 1; 4); Г) (1; – 4).​

Ответы

Ответ дал: Аноним
2

Ответ:

Я думаю, что так, сори что так поздно)

Приложения:

tarasdrozd2004: я сам минут 10 опубликовал это) мне не срочно
Вас заинтересует