Ответы
Ответ дал:
1
1)X+1(не равно 0
Значит X не равен -1
2)2x-4>0
2x>4
X>2
3)x+5>0
X>-5
Значит X не равен -1
2)2x-4>0
2x>4
X>2
3)x+5>0
X>-5
Ответ дал:
0
Пошаговое объяснение:
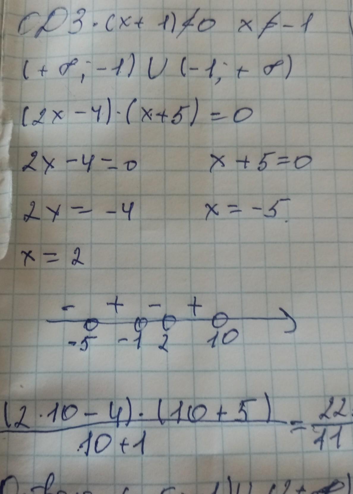
Решение уравнения ответ (-5:-1)u(2+бесконечность)
Приложения:

Вас заинтересует
2 года назад
2 года назад
7 лет назад
7 лет назад
9 лет назад