• Предмет: Математика
  • Автор: spryt01
  • Вопрос задан 3 года назад

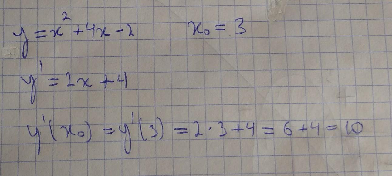
5. Найти значение производной функции y=x^2+4x-2 в точке x0=3

Ответы

Ответ дал: dimauchenik654454
0

Ответ:

10

Пошаговое объяснение:

Решение на фотографии

Приложения:
Вас заинтересует