• Предмет: Математика
  • Автор: annakhell22
  • Вопрос задан 3 года назад

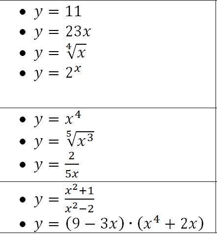
Помогите с математикой, срочно !! 80баллов

Приложения:

Ответы

Ответ дал: Akos01
0

Ответ: все правильно

Приложения:
Вас заинтересует