представьте выражения в виде степени с основанием n. В ответ запишите показатель степени
Приложения:

Ответы
Ответ дал:
1
Объяснение:
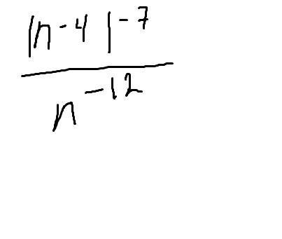
Ответ: 40.
Ответ дал:
0
(n⁻⁴)⁻⁷/n⁻¹²=n²⁸/n⁻¹²=n²⁸⁻⁽⁻¹²⁾=n⁴⁰
Вас заинтересует
2 года назад
2 года назад
2 года назад
2 года назад
7 лет назад
7 лет назад