• Предмет: Математика
  • Автор: Lolukio
  • Вопрос задан 3 года назад

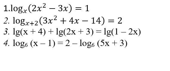
Нужна помощь , прошу

Приложения:

Ответы

Ответ дал: Аноним
0

Ответ:

Вот, держи, думаю понятно

Приложения:
Вас заинтересует