Ответы
Ответ дал:
2
~~~~~~~~~~~~~~~~~~~~
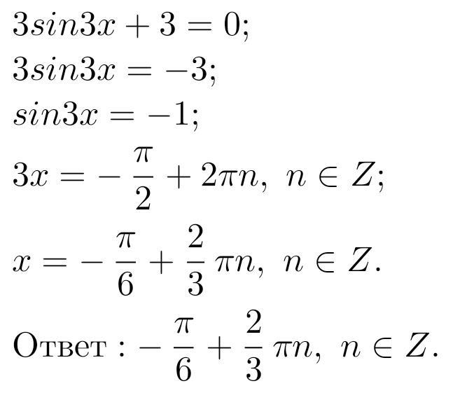
Приложения:

Аноним:
это как?, Вы тип скопировали?, или сами писали?
Вас заинтересует
2 года назад
2 года назад
2 года назад
2 года назад
7 лет назад
9 лет назад