Ответы
Ответ дал:
1
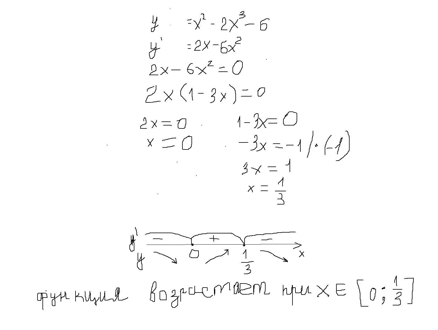
Ответ:
[0;1/3]
Пошаговое объяснение:
Приложения:

Вас заинтересует
2 года назад
2 года назад
2 года назад
2 года назад