Помогите с математикой пожалуйста С решением очень надо 30 баллов дам
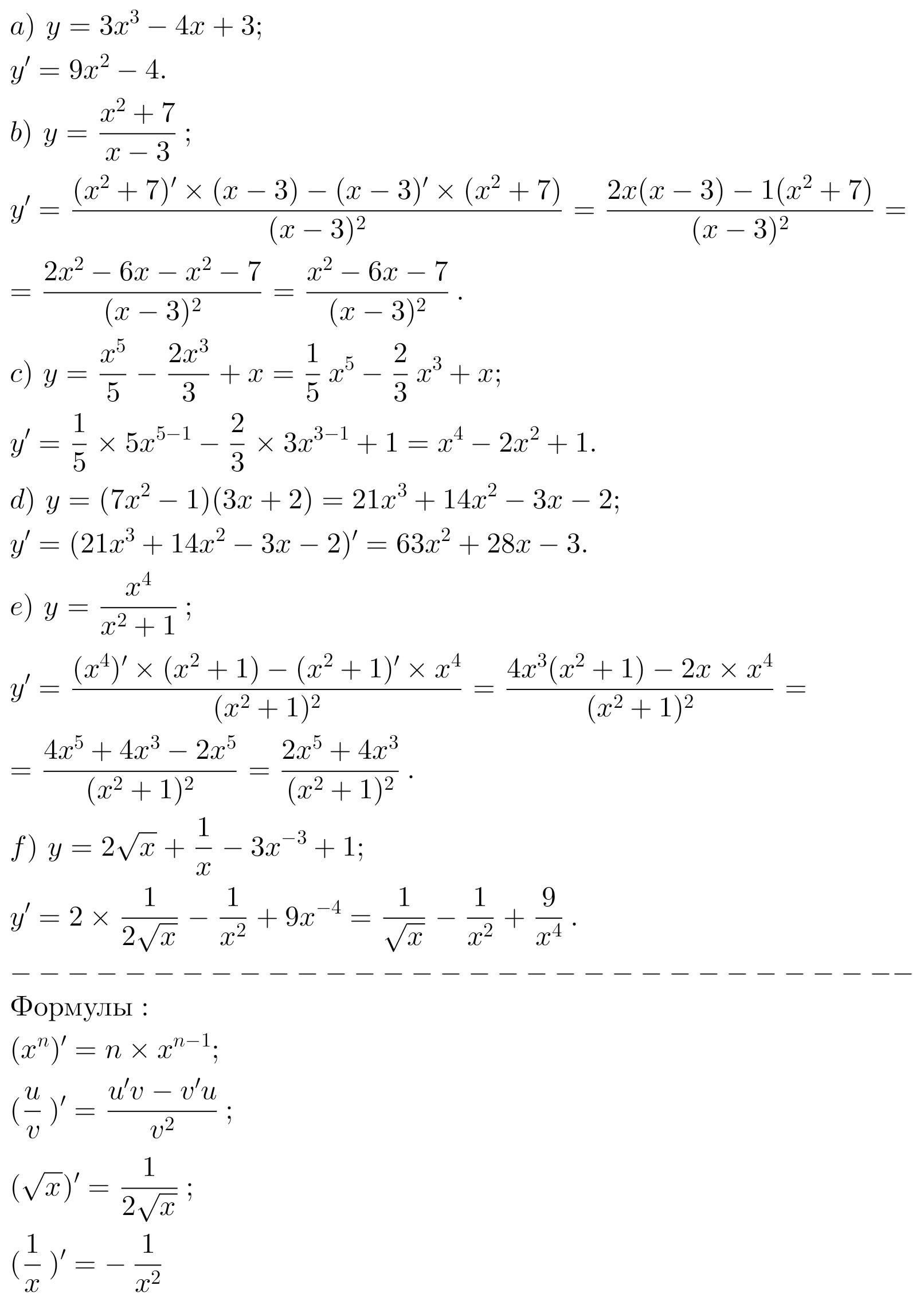
Найти Производную
Приложения:

Kierra:
Найти производные?
Ответы
Ответ дал:
2
~~~~~~~~~~~~~~~~~~~~
Приложения:

Вас заинтересует
2 года назад
2 года назад
7 лет назад
7 лет назад
9 лет назад