• Предмет: Математика
  • Автор: 79315927192
  • Вопрос задан 3 года назад

Сложное неравенство ПОМОГИТЕ ПОЖАЛУЙСТА

Приложения:

Ответы

Ответ дал: Удачник66
1

Ответ:

Пошаговое объяснение:

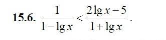
1/(1 - lg x) < (2lg x - 5)/(1 + lg x)

Область определения:

{ x > 0

{ lg x ≠ 1; x ≠ 10

{ lg x ≠ -1; x ≠ 0,1

Замена lg x = y

1/(1 - y) < (2y - 5)/(1 + y)

1/(1 - y) - (2y - 5)/(1 + y) < 0

(1+y) / [(1-y)(1+y)] - (2y-5)(1-y) / [(1-y)(1+y)] < 0

[1+y - (2y-5)(1-y)] / [(1-y)(1+y)] < 0

[1+y + (2y-5)(y-1)] / [(1-y)(1+y)] < 0

(1+y+2y^2-5y-2y+5) / [(1-y)(1+y)] < 0

(2y^2 - 6y + 6) / [(1-y)(1+y)] < 0

2(y^2 - 3y + 3) / [(1-y)(1+y)] < 0

Попробуем найти корни числителя

y^2 - 3y + 3 = 0

D = 3^2 - 4*1*3 = 9 - 12 = -3 < 0

Числитель корней не имеет. Так как а = 1 > 0, то ветви направлены вверх, значит, он > 0 при любом у.

Поэтому его можно не учитывать.

1/[(1-y)(1+y)] < 0

y € (-oo; -1) U (1; +oo)

x € (0; 0,1) U (10; +oo)

Вас заинтересует