• Предмет: Математика
  • Автор: pomogite742
  • Вопрос задан 3 года назад

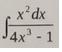
Расписать интеграл с ответом

Приложения:

Ответы

Ответ дал: Аноним
0

Ответ:

решение во вложении

Пошаговое объяснение:

Приложения:
Вас заинтересует