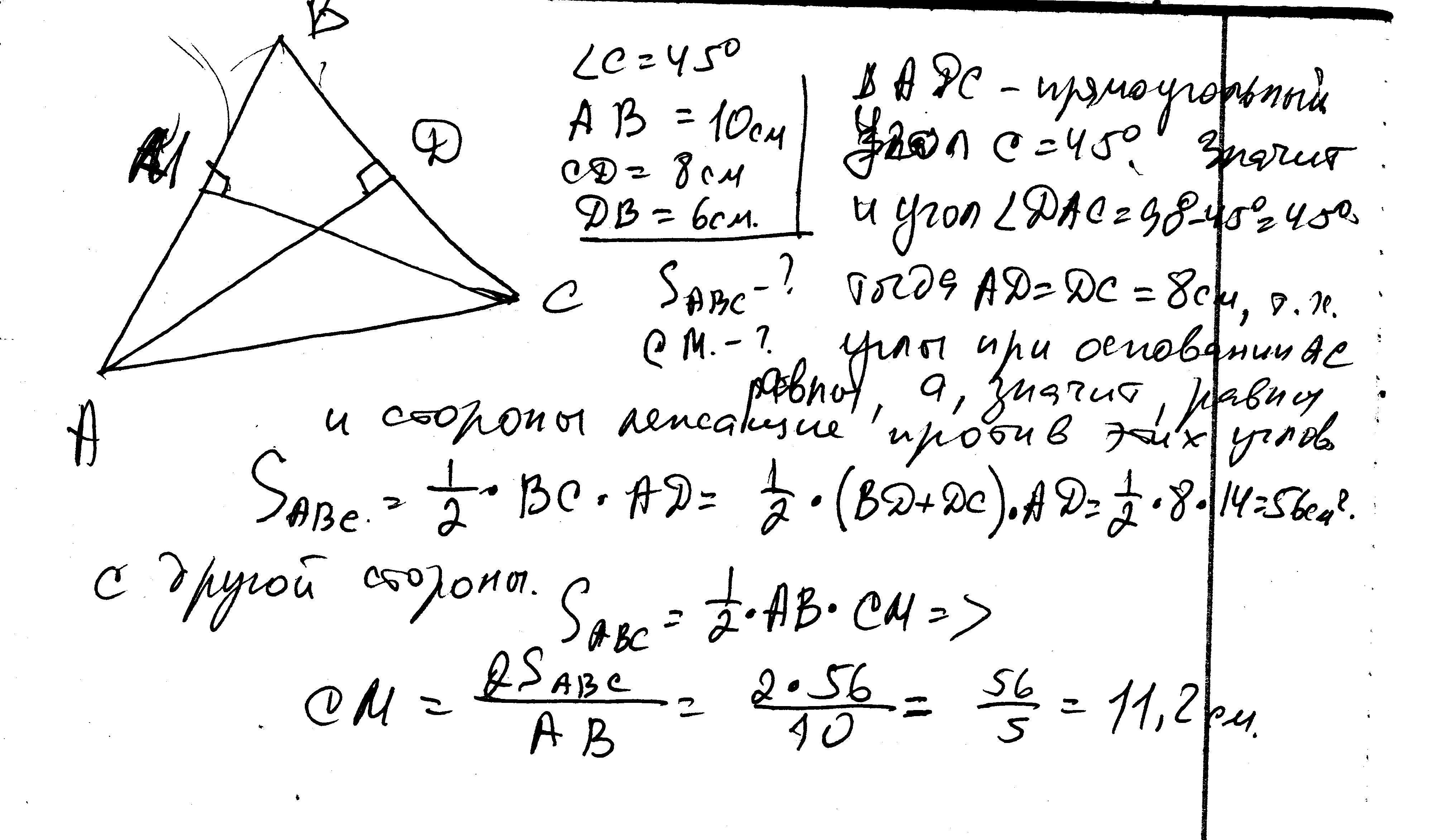
в треугольнике АВС угол С=45,АВ=10см, а высота АД делит сторону СВ на отрезки СД=8см, ДВ=6 см. Найдите площадь треугольника и высоту проведенную к стороне АВ
Ответы
Ответ дал:
0
решение в скане...................
Приложения:

Вас заинтересует
2 года назад
2 года назад
8 лет назад
8 лет назад
10 лет назад
10 лет назад
10 лет назад