• Предмет: Математика
  • Автор: ikuchaev21
  • Вопрос задан 3 года назад

Пожалуйста помогите решить, срочно нужно
Вычислите предел
Второе задание на скриншоте

Приложения:

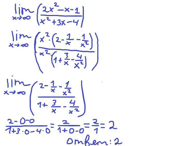
Ответы

Ответ дал: BpexLoader
1

Решение на фото...............

Приложения:
Вас заинтересует