Срочно!!! Нужна помощь с решением задач по математике.
Приложения:

AlexArdguna:
1. y = 1 + 1/x^2. Это гипербола вроде
Ответы
Ответ дал:
1
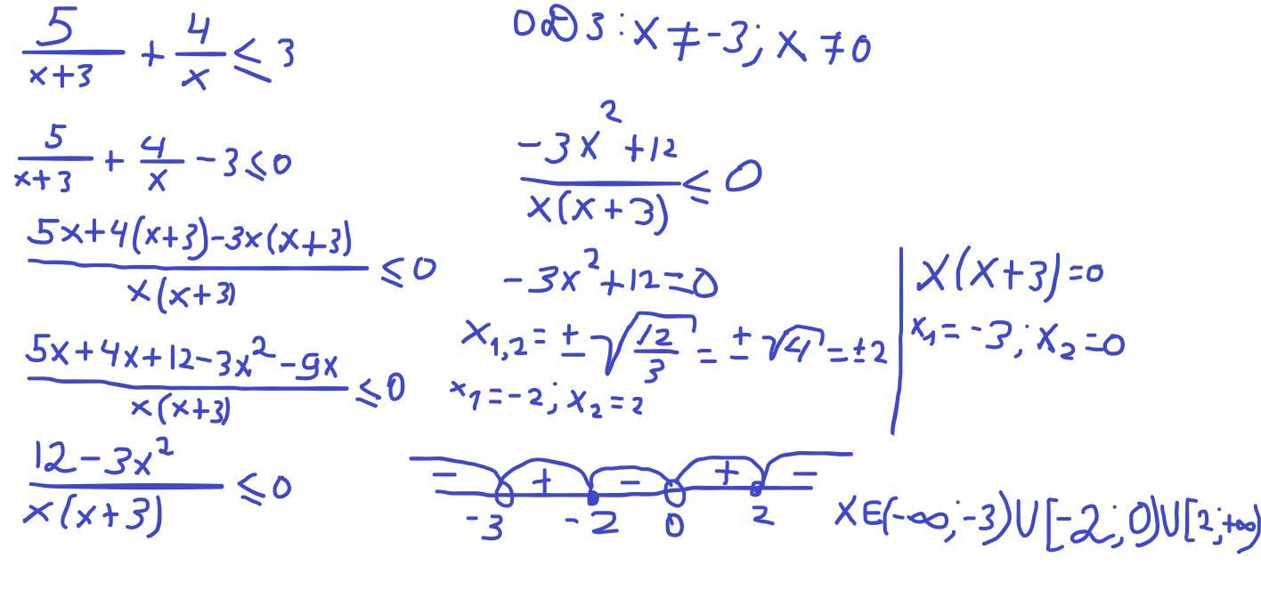
Решил только первые 2 номера......
Приложения:


Вас заинтересует
2 года назад
2 года назад
2 года назад
7 лет назад
7 лет назад
9 лет назад