• Предмет: Алгебра
  • Автор: HappinessMy17
  • Вопрос задан 3 года назад

Помогите пожалуйста срочно​

Приложения:

Ответы

Ответ дал: valerikkiselev
0

Ответ:

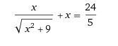
Решение данного уравнения будем искать графическим способом, так будет легче, отметим на графике левую и правую часть уравнения и найдем точку пересечения графиков в точке x, это и будем решение уравнения.

Объяснение:

Приложения:
Вас заинтересует