ВСЕ ВЕЛИКИЕ УМЫ ПРОШУ СОБРАТЬСЯ, пожалуйста помогите решить, правильно, с решением
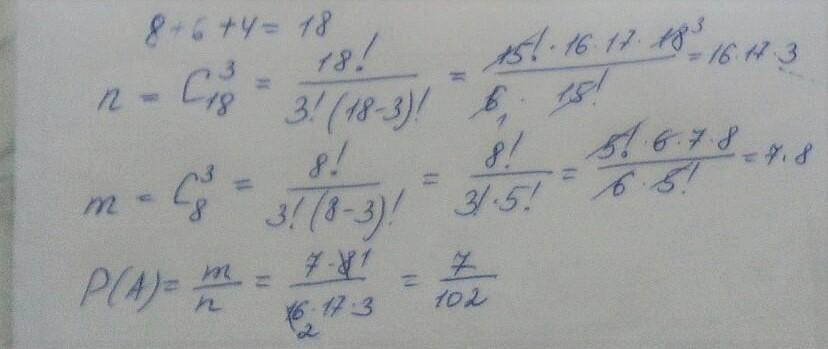
В урне находится 8 красных и 4 синих шара. Из урны наудачу отобраны 6 шаров. Найдите
вероятность того, что среди отобранных окажутся 3 красных и 3 синих шара.
Ответы
Ответ дал:
1
Ответ:
Пошаговое объяснение:
Приложения:

SneikA1s23:
Жду еще ответов, других людей
Ответ дал:
0
Ответ:
8/33
Пошаговое объяснение:
Извлечь 6 шаров из 12 можно C(12,6)=12!/(6!*6!)=924 способами
Выбрать 3 красных из 8 красных можно C(8,3)=8!/(3!*5!)=56 способами
Выбрать 3 синих из 4 синих можно 4 способами
Ответ: 4*56/924=8/33
Вас заинтересует
2 года назад
2 года назад
2 года назад
7 лет назад
7 лет назад
9 лет назад
9 лет назад