• Предмет: Математика
  • Автор: stepinilya201777
  • Вопрос задан 3 года назад

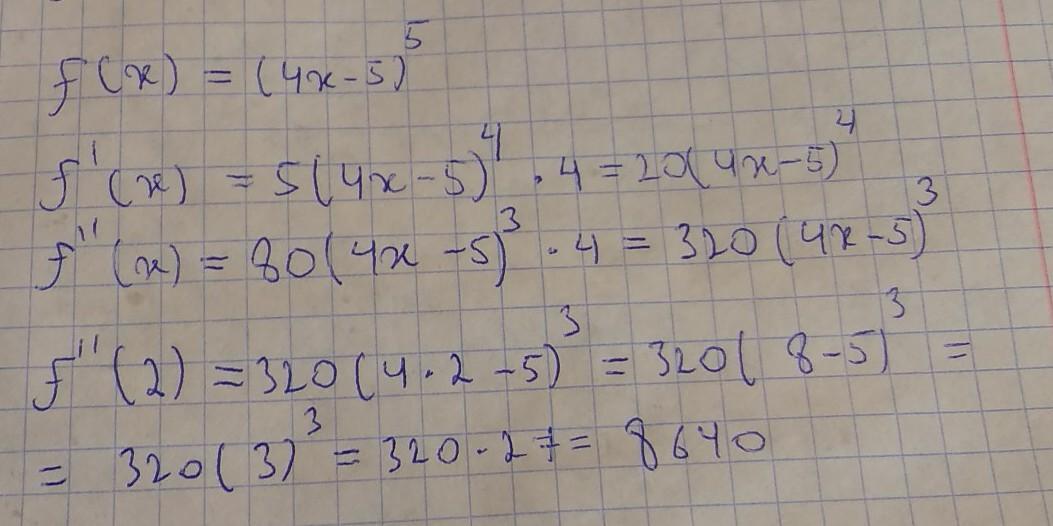
Вычислите вторую производную функции y=(4x-5)^5 в точке x=2


dimauchenik654454: Я решил заново, сейчас вроде бы всё верно.

Ответы

Ответ дал: dimauchenik654454
1

Ответ:

f``(2)=8640

На фотографии решение.

Сейчас вроде правильно.

Приложения:

dimauchenik654454: Где?
dimauchenik654454: я нашёл производную первого, затем второго порядка
dimauchenik654454: и подставил значение
dimauchenik654454: ))
stepinilya201777: Ну я собственно говоря не шарю, но мне сказали найти производную от этой функции, это и есть то что Вы выслали?
stepinilya201777: ??
dimauchenik654454: Да, это оно. Я нашёл производную второго порядка и вместо x подставил 2.
stepinilya201777: Спасибо большое, я могу если что сюда же написать в случае чего?)
dimauchenik654454: Да
stepinilya201777: Спасибо)
Вас заинтересует