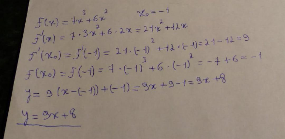
Помогите решить срочно составьте уравнение косательной к функции f(x)=7x^3+6x^2 х0=–1
ruzickchudakov:
Дай вк , там проще
Ответы
Ответ дал:
0
Ответ:
y=9x+8
Пошаговое объяснение:
Решение на фотографии
Приложения:

Вас заинтересует
2 года назад
2 года назад
2 года назад
7 лет назад
9 лет назад