Ответы
Ответ дал:
1
Ответ:
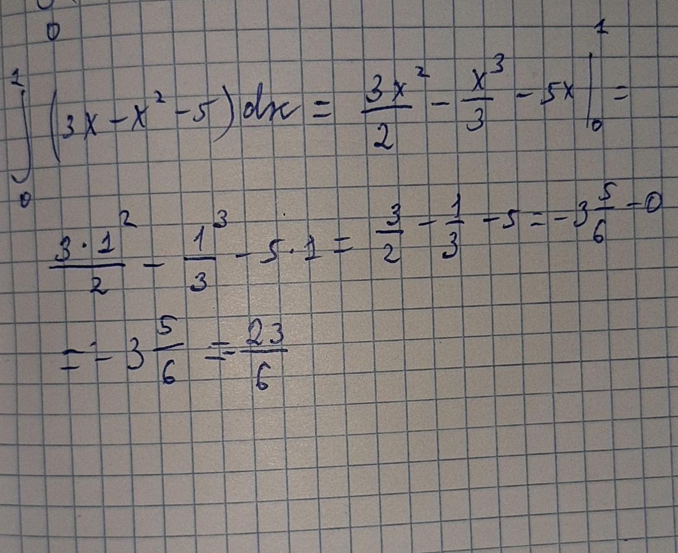
вот вам решение!!!!!!!!
Приложения:

Ответ дал:
0
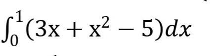
В выражение 3х²/2+х³/3-5х по формуле Ньютона - Лейбница подставим верхний и нижний пределы интегрирования. получим
1.5+1/3-5-0=-19/6= - 3 1/6
Вас заинтересует
2 года назад
2 года назад
2 года назад
7 лет назад
9 лет назад