• Предмет: Математика
  • Автор: Nastia0096
  • Вопрос задан 3 года назад

СРОЧНООО
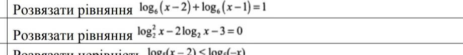
только 2. (Пошагово)

Приложения:

Ответы

Ответ дал: iosiffinikov
1

Ответ:

Два решения х=10   или х=2б5

Пошаговое объяснение:

Обозначим логарифм за у

y^2-2y-3=0

y^2-2y+1=4

(y-1)^2=2^2

y1=3   y2=-1

1)   x-2=2^3

x=10

2)  x-2=2^(-1)

x=2,5

Вас заинтересует