• Предмет: Информатика
  • Автор: MaksimilyanRD
  • Вопрос задан 3 года назад

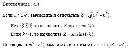
Ввести числа .
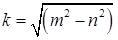
Если m^2 ≥n^2 , вычислить и отпечатать(Фотография 1).
Если k⩽1 , то вычислить. Z=arccos⁡(k).
Если k>1 , то вычислить Z=arcsin⁡(1/k) .
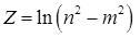
Иначе (если m^2

Приложения:

Ответы

Ответ дал: LRSM
0

Ответ:

  • var m, n, k, Z: real;
  • begin
  • Read(m, n);
  • if m*m >= n*n then  
  • begin
  • k := Sqrt(m*m - n*n);
  • Print(k);
  • if k <= 1 then Z := ArcCos(k)
  • else Z := ArcSin(1 / k);
  • end
  • else Z := Ln(n*n - m*m);
  • Print(Z);
  • end.
Вас заинтересует