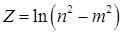
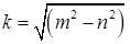
Если m^2 ≥n^2 , вычислить и отпечатать(Фотография 1). Если k⩽1 , то вычислить. Z=arccos(k). Если k>1 , то вычислить Z=arcsin(1/k) . Иначе (если m^2n<^2)рассчитать и отпечатать Z=ln(n^2-m^2).
Приложения:



Ответы
Ответ дал:
1
Ответ:
- var m, n, k, Z: real;
- begin
- Read(m, n);
- if m*m >= n*n then
- begin
- k := Sqrt(m*m - n*n);
- Print(k);
- if k <= 1 then Z := ArcCos(k)
- else Z := ArcSin(1 / k);
- end
- else Z := Ln(n*n - m*m);
- Print(Z);
- end.
Вас заинтересует
2 года назад
2 года назад
2 года назад
7 лет назад
7 лет назад