Ответы
Ответ дал:
1
Ответ:
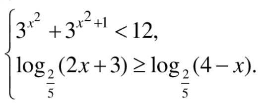
решение на фотографиях
Приложения:


Вас заинтересует
2 года назад
2 года назад
7 лет назад
9 лет назад