• Предмет: Математика
  • Автор: katagroseva6491
  • Вопрос задан 3 года назад

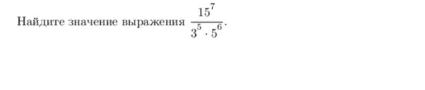
Найдите значение выражения

Приложения:

Ответы

Ответ дал: binamaksimchuk
0

Ответ:

Пошаговое объяснение:

=\frac{3^{7}*5^{7}  }{3^{5}*5^{6}  } =3^{2} *5=45

Вас заинтересует