• Предмет: Математика
  • Автор: angelinagame01
  • Вопрос задан 3 года назад

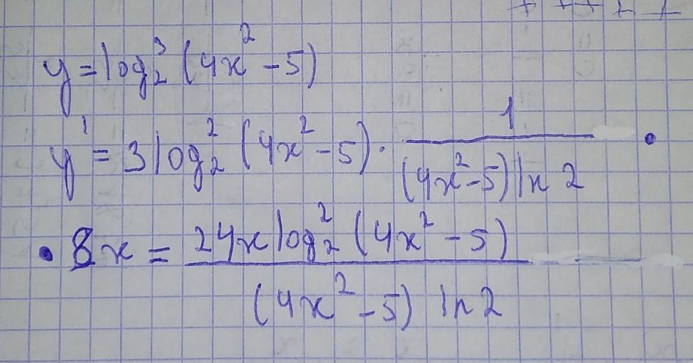
Найдите производную функцию

Приложения:

Ответы

Ответ дал: dimauchenik654454
0

Ответ:

На фотографии.

Пошаговое объяснение:

Решение там же.

Приложения:
Вас заинтересует