• Предмет: Математика
  • Автор: misssemiryazhko
  • Вопрос задан 3 года назад

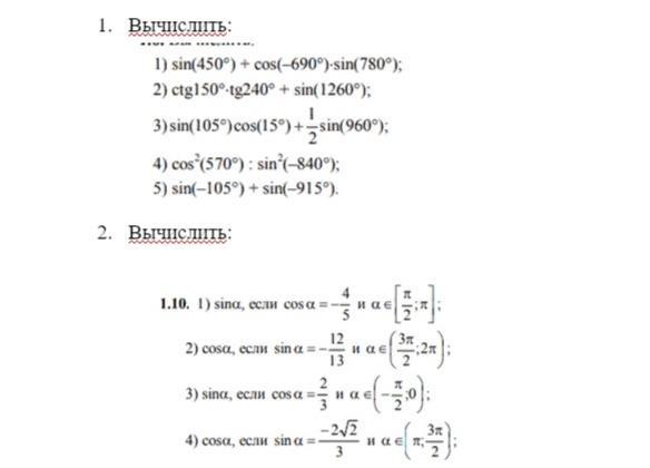
помогите пожалуйста с примерами часть 2

Приложения:

Ответы

Ответ дал: table123
1

Ответ:

Пошаговое объяснение:

1)sin^2a=1-cos^2a=1-16/25=9/25,  (угол 2 четв,  +),sina=3/5

2) cos^2a=1-sin^2a=1-144/169=25/169,   ( угол 4 четв,  +),  cosa=5/13

3) sin^2a=1-4/9=5/9, (угол 4 четв.,  -),  sina= -V5/3  (V-корень)

4) cos^2a=1-8/9=1/9, (угол  3  четв.,  - ),  cosa=-1/3

Вас заинтересует