• Предмет: Алгебра
  • Автор: arsmuzzzz2006
  • Вопрос задан 3 года назад

помогите пожалуйста,алгебра 7 класс

Приложения:

Ответы

Ответ дал: Аноним
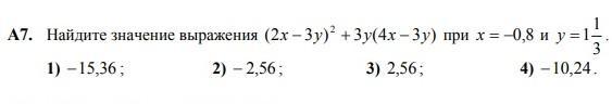
1

Ответ:

3) 2.56

Объяснение:

(2x-3y)²+3y(4x-3y)=4x²-12xy+9y²+12yx-9y²=4x²+9y²-9y²=4x²

4x² при x= -0.8

4*(-0.8)²=4*0.64=2.56

Ответ дал: slganiev
1

Ответ:

2.56

Объяснение:

4х²-12ху+9у²+12ху-9у²   скоротимо і залишиться 4х²  у відсутній , аналізуємо Х         4*(-0,8)²=4*0,64=2,56

Вас заинтересует