• Предмет: Математика
  • Автор: friskdrimur
  • Вопрос задан 3 года назад

Если a=8,2; b=4,1. Помогите пж

Приложения:

friskdrimur: найдите решение

Ответы

Ответ дал: mrnfdrva
1

Подставляем:

\frac{8,2^{5} * 4,1^{3}  }{(8,2*4,1)^{4} } = \frac{8,2^{5} * 4,1^{3}  }{8,2^{4} * 4,1^{4} }  = 8,2 ^{1} * 4,1^{-1}  = 8,2 * \frac{10}{41}  = \frac{82}{41}  = 2

Ответ дал: Мудrost
0

Ответ:

2

Пошаговое объяснение:

✓РЕШЕНО МУДROST✓

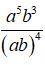
\frac{a^{5} b^{3} }{(ab)^{4} }

Раскрываем скобки в знаменателе:

\frac{a^{5} b^{3} }{a^{4} b^{4} }

Упрощаем выражение:

\frac{a}{b}

При a=8,2   b=4,1

\frac{8,2}{4,1}

Делим 8,2 на 4,1

\frac{8,2}{4,1}=2

✓РЕШЕНО МУДROST✓

Вас заинтересует