• Предмет: Алгебра
  • Автор: natalilozhenitsyna
  • Вопрос задан 3 года назад

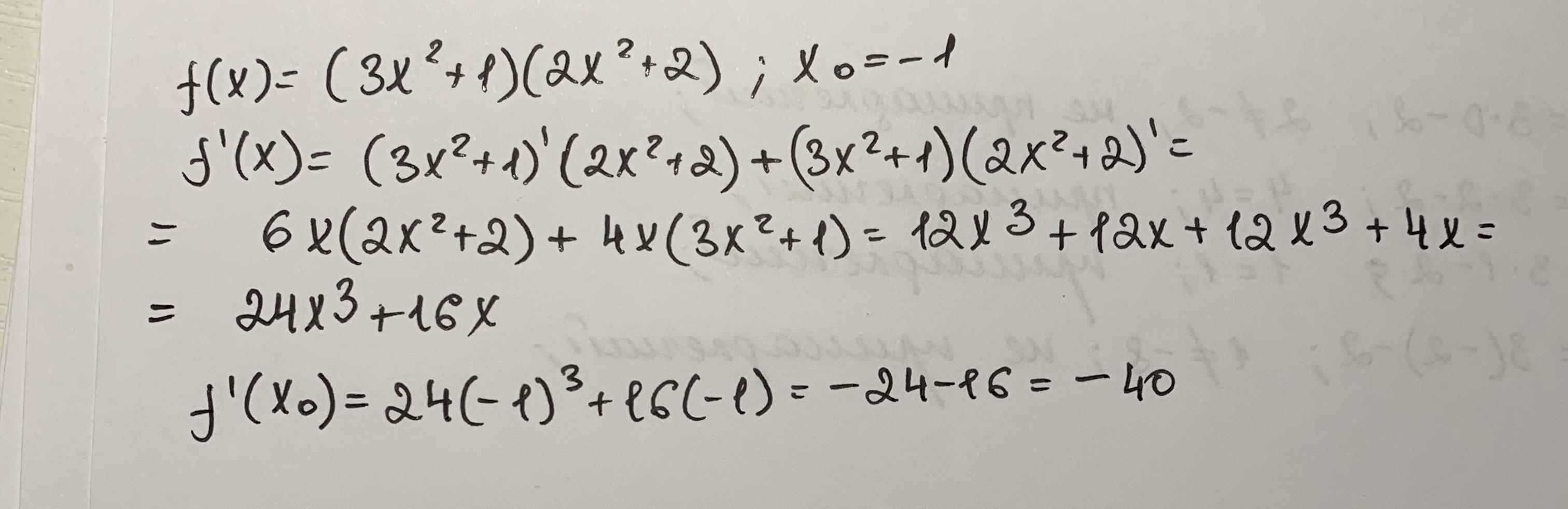
Найти значение производной в точке x0=−1, если:f (x)=(3x2+1)(2x2+2).

Ответы

Ответ дал: momogahari
0

Ответ: -40

Подробнее во вложении:

Приложения:
Вас заинтересует