• Предмет: Математика
  • Автор: nadelyayeva03
  • Вопрос задан 3 года назад

Помогите решить пожалуйста!!!! ​

Приложения:

Ответы

Ответ дал: dimauchenik654454
1

Ответ:

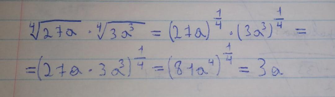
1. 3a

Пошаговое объяснение:

Пошаговое упрощение на фотографии

Приложения:
Вас заинтересует