• Предмет: Алгебра
  • Автор: kirillponomarev2001
  • Вопрос задан 3 года назад

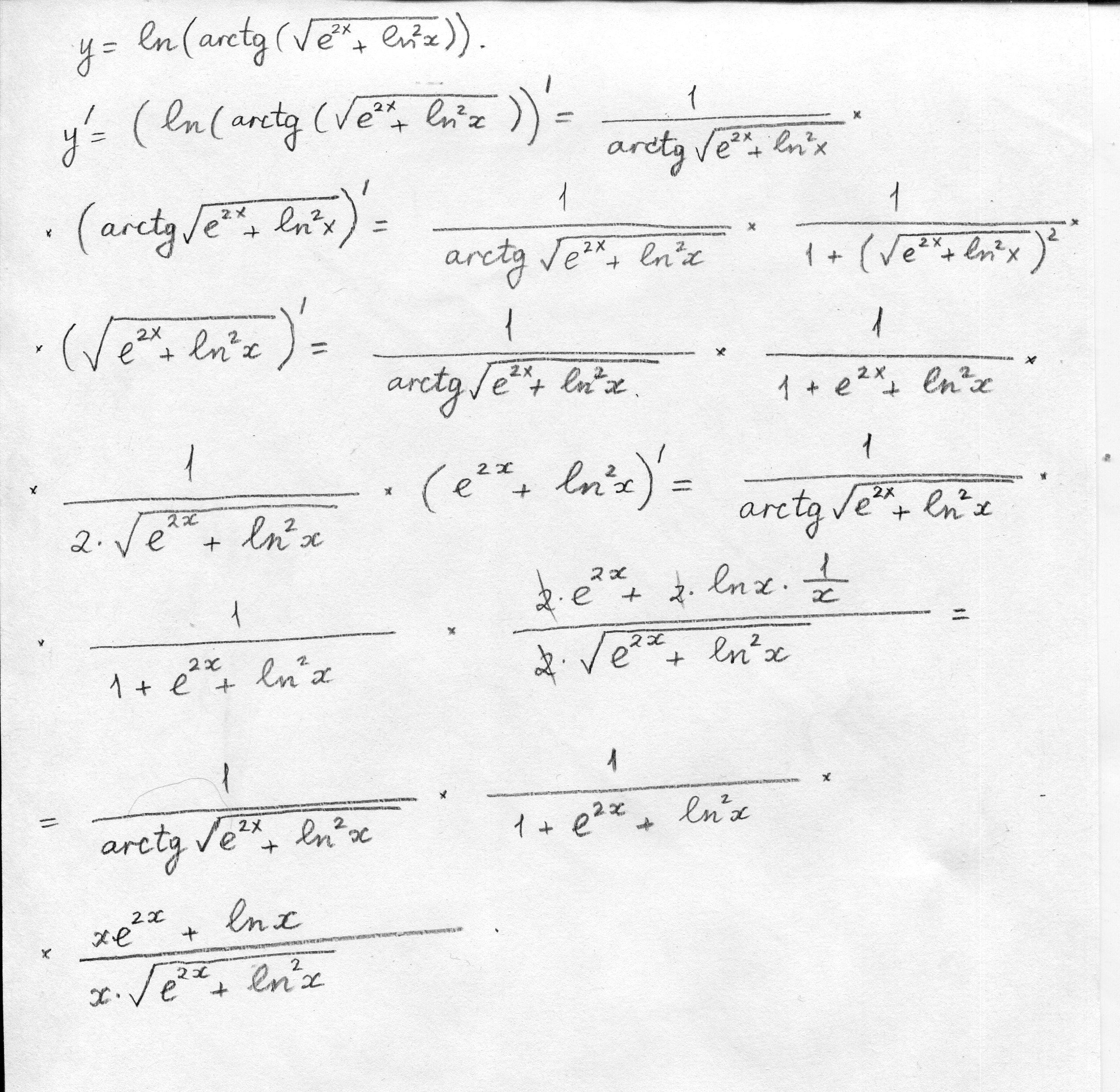
Помогите решить пример с производной, в интернете ничего не понятно.
(ln)(arctan)sqrt(e^(2x)+ln^(2)x)

Ответы

Ответ дал: Аноним
0

я написал решение на прикреплённом листочке ===>>

Приложения:
Вас заинтересует
8 лет назад