• Предмет: Геометрия
  • Автор: szs9035664870
  • Вопрос задан 3 года назад

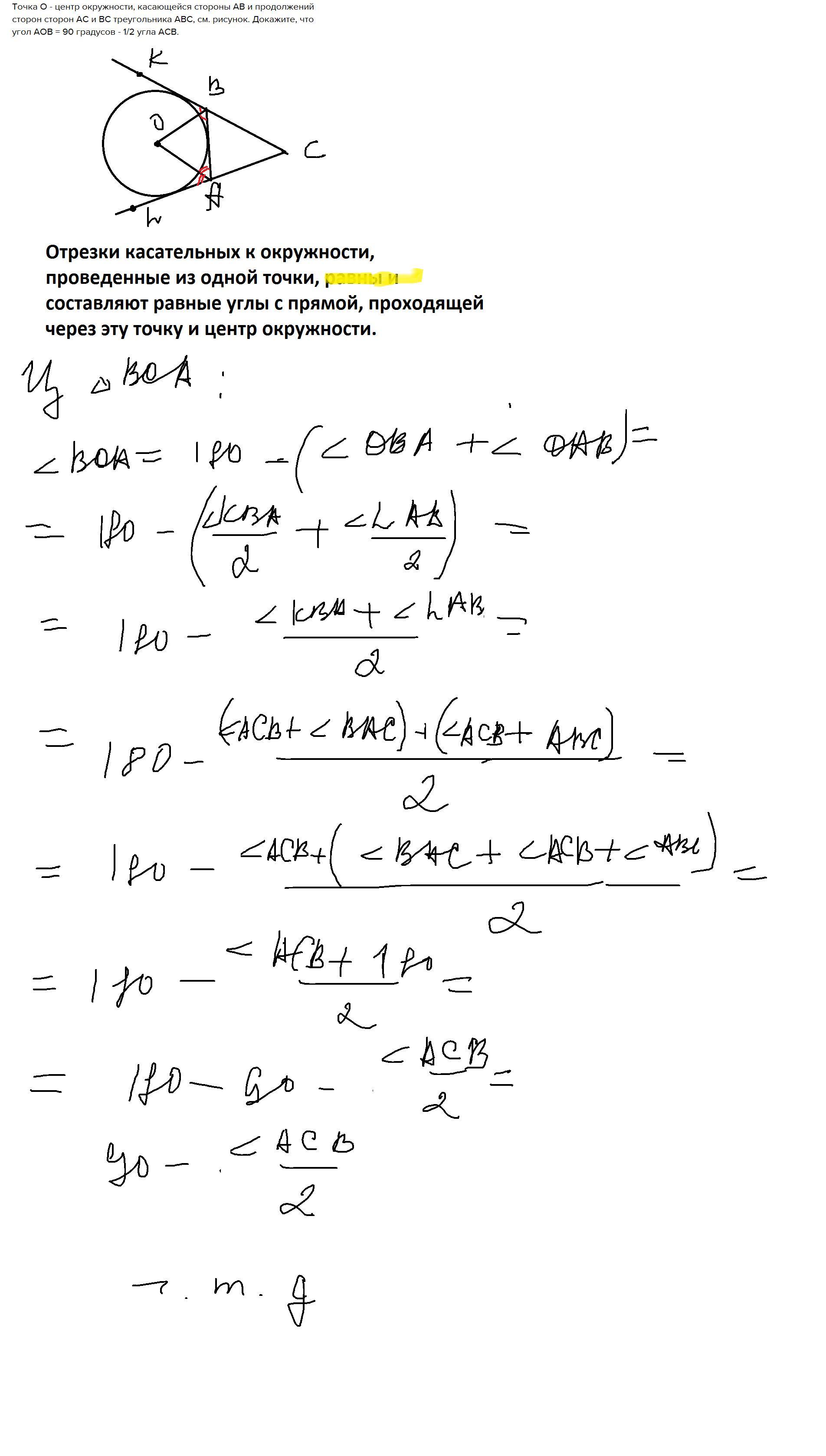
Точка О - центр окружности, касающейся стороны AB и продолжений сторон сторон AC и BC треугольника ABC, см. рисунок. Докажите, что угол AOB = 90 градусов - 1/2 угла ACB.

Ответы

Ответ дал: vikll
0

Ответ:

Объяснение:Точка О - центр окружности, касающейся стороны AB и продолжений сторон сторон AC и BC

Приложения:
Вас заинтересует