• Предмет: Математика
  • Автор: stepinilya201777
  • Вопрос задан 3 года назад

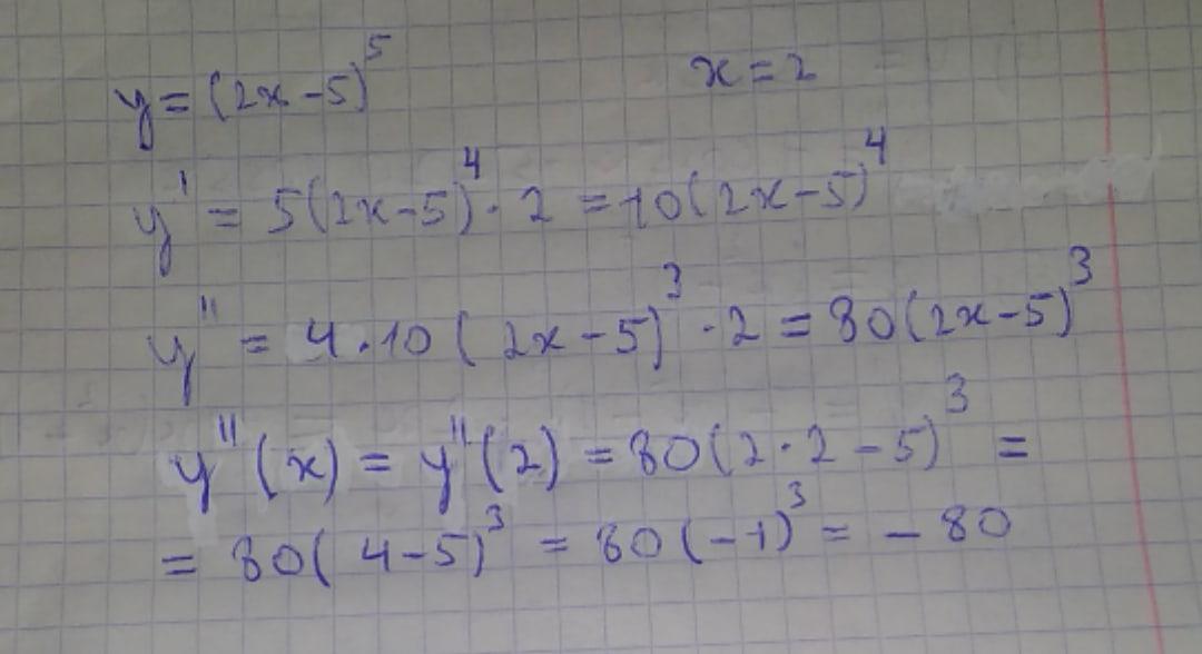
Вычислите вторую производную функции y=(2x-5)^5 в точке x=2

Ответы

Ответ дал: dimauchenik654454
1

Ответ:

-80

Пошаговое объяснение:

Решение на фотографии

Приложения:
Вас заинтересует