• Предмет: Математика
  • Автор: Dmitriy114
  • Вопрос задан 3 года назад

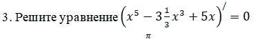
Даю 100б пж Решите уравнение

Приложения:

Ответы

Ответ дал: nikdanilovnn
0

Ответ:

Пошаговое объяснение:

Х

Вас заинтересует
2 года назад