• Предмет: Алгебра
  • Автор: evavish
  • Вопрос задан 3 года назад

Помогите пожалуйстаа(

Приложения:

Ответы

Ответ дал: vityamath
0

Ответ:

Объяснение:

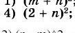
(2+n)²=2²+2*2*n+n²=4+4n+n²

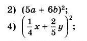
(5a+6b)²=(5a)²+2*5a*6b+(6b)²= 25a²+60ab+36b²

(1/4x+2/5y)²=1/16x²+1/5xy+4/25y²=x²/16+xy/5+4y²/25


BroDuck: Доброго времени суток! Не могли бы помочь с заданием? Буду очень благодарен! Задание:
https://znanija.com/task/37762340?utm_source=android&utm_medium=share&utm_campaign=question
Ответ дал: Zombynella
0

Ответ:

В решении.

Объяснение:

4)(2+n)²=4+4n+n²;

2)(5a+6b)²=25a²+60ab+36b²;

4)(x/4+2y/5)²=x²/16+xy/5+4y²/25.

Вас заинтересует