• Предмет: Алгебра
  • Автор: regina2048
  • Вопрос задан 3 года назад

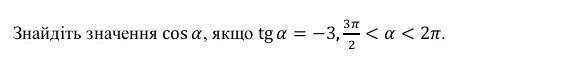
Помогите пожалуйста​

Приложения:

Ответы

Ответ дал: julialukanina21
1

Ответ:

Объяснение:

tg^2\alpha  + 1 = 1/ cos^{2}\alpha  \\9 + 1 = 10 \\cos^2\alpha = 1/10} \\cos\alpha =  \sqrt{1/10}


Universalka: Косинусы углов четвёртой четверти положительны
Universalka: Уберите минус из ответа
julialukanina21: Да, вы правы, перепутала с синусом. Спасибо за исправление!
Ответ дал: Universalka
0

α - угол четвёртой четверти значит Cosα > 0 .

1+tg^{2}\alpha=\frac{1}{Cos^{2}\alpha} \\\\Cos^{2}\alpha =\frac{1}{1+tg^{2}\alpha}=\frac{1}{1+(-3)^{2}}=\frac{1}{1+9}=\frac{1}{10}\\\\Cos\alpha=\sqrt{\frac{1}{10}}=\frac{1}{\sqrt{10}}=\frac{\sqrt{10}}{10} \\\\Otvet:\boxed{Cos\alpha =\frac{\sqrt{10}}{10}}

Вас заинтересует