• Предмет: Алгебра
  • Автор: evavish
  • Вопрос задан 3 года назад

Последнее за сегодня) Спасибо!

Приложения:

dimauchenik654454: Просто упростить?

Ответы

Ответ дал: BpexLoader
0

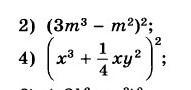
2) (3m^3-m^2)^2=9m^6-6m^5+m^4\\4)(x^3+\frac{1}{4}xy^2)=x^6+\frac{1}{2}  x^4y^2+\frac{1}{16} x^2y^4

Вас заинтересует