Ответы
Ответ дал:
0
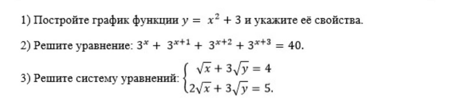
По просьбе пользователя решаю второе и третье задание, упуская первое.
Смотрите в приложении:
Приложения:


Вас заинтересует
2 года назад
2 года назад
2 года назад
7 лет назад
7 лет назад