• Предмет: Алгебра
  • Автор: regina2048
  • Вопрос задан 3 года назад

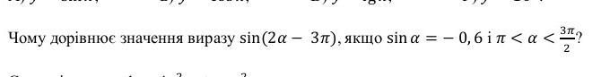
Помогите пожалуйста​

Приложения:

Ответы

Ответ дал: NNNLLL54
0

Ответ:

sina=-0,6\\\\\\cos^2a=1-sin^2a=1-0,36=0,64\ \  ,\ \ cosa=\pm 0,8\\\\\pi <a<\dfrac{3\pi}{2}\ \ \ \to \ \ \ cosa<0\ \ ,\ \ cosa=-0,8\\\\\\sin(2a-3\pi )=-sin(3\pi -2a)=-sin2a=-2\cdot sina\cdot cosa=\\\\=-2\cdot (-0,6)\cdot (-0,8)=-0,96

Вас заинтересует