• Предмет: Алгебра
  • Автор: gmfcfn88
  • Вопрос задан 3 года назад

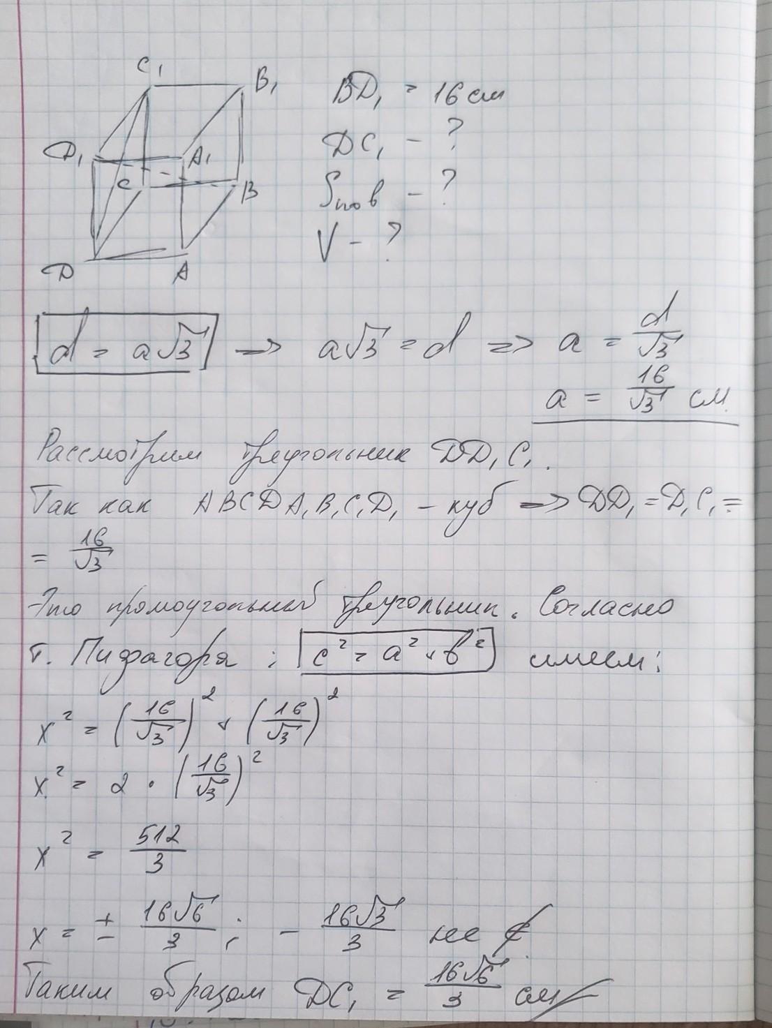
в кубе АВСДА1 известно что вд1 =16см найдите длину д с1 площадь поверхности и объем куба

Ответы

Ответ дал: ChiStS
1

Смотрим в приложении:

Приложения:
Вас заинтересует