• Предмет: Математика
  • Автор: slavikjose
  • Вопрос задан 3 года назад

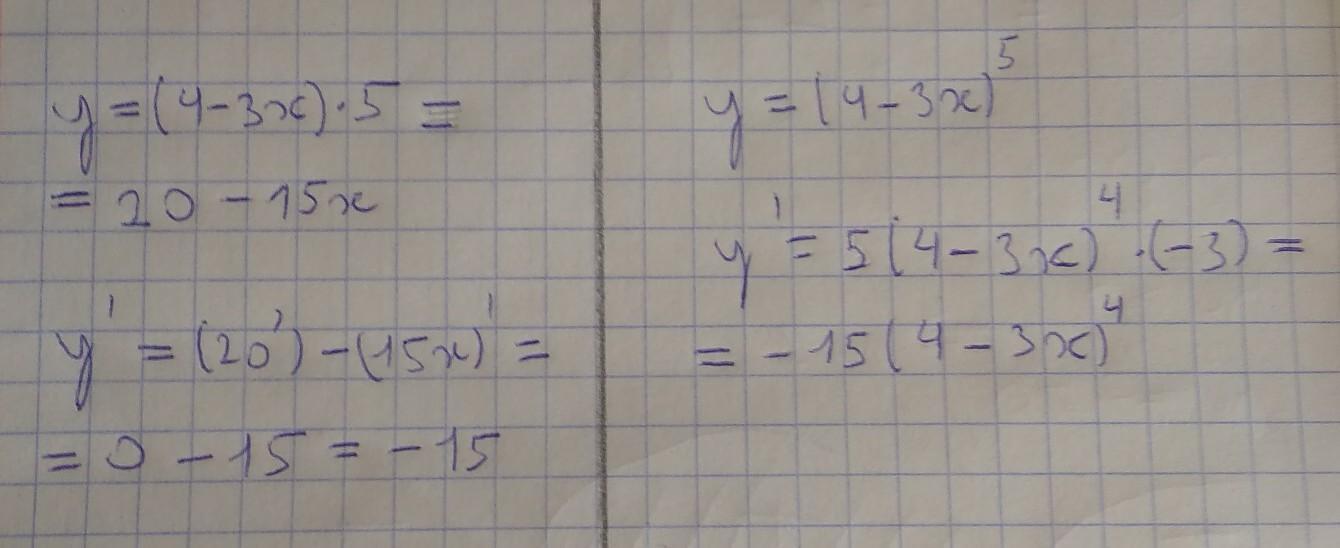
Найдите производную функции y=(4-3x)5

Ответы

Ответ дал: dimauchenik654454
1

Пошаговое объяснение:

Возможно вы имели ввиду (4-3x)⁵, но я на всякий случай продеференцировал и (4-3x)5. Выберите то, что вам нужно ;)

Приложения:
Вас заинтересует