• Предмет: Математика
  • Автор: nastyadonets03
  • Вопрос задан 3 года назад

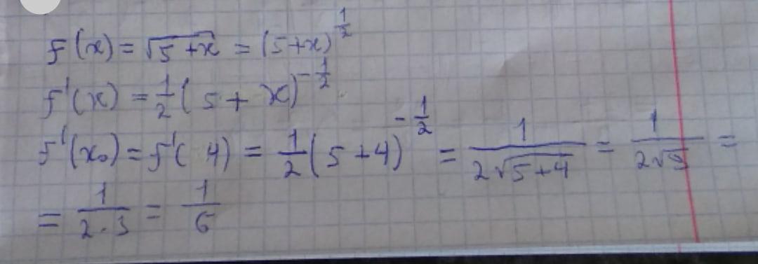
Вычислить значение производной функции f (x) =√5+х в точке x° =4 .

Ответы

Ответ дал: dimauchenik654454
1

Пошаговое объяснение:

Если под корнем 5+x, то смотрите решение на первой фотографии,

а если под корнем только 5 - то на второй фотографии.

Приложения:
Вас заинтересует