• Предмет: Математика
  • Автор: schok716
  • Вопрос задан 3 года назад

СРОЧНО, ПОМОГИТЕ ПЛАЧУ 12 БАЛЛОВ!!!!!!!

Приложения:

Ответы

Ответ дал: dimauchenik654454
0

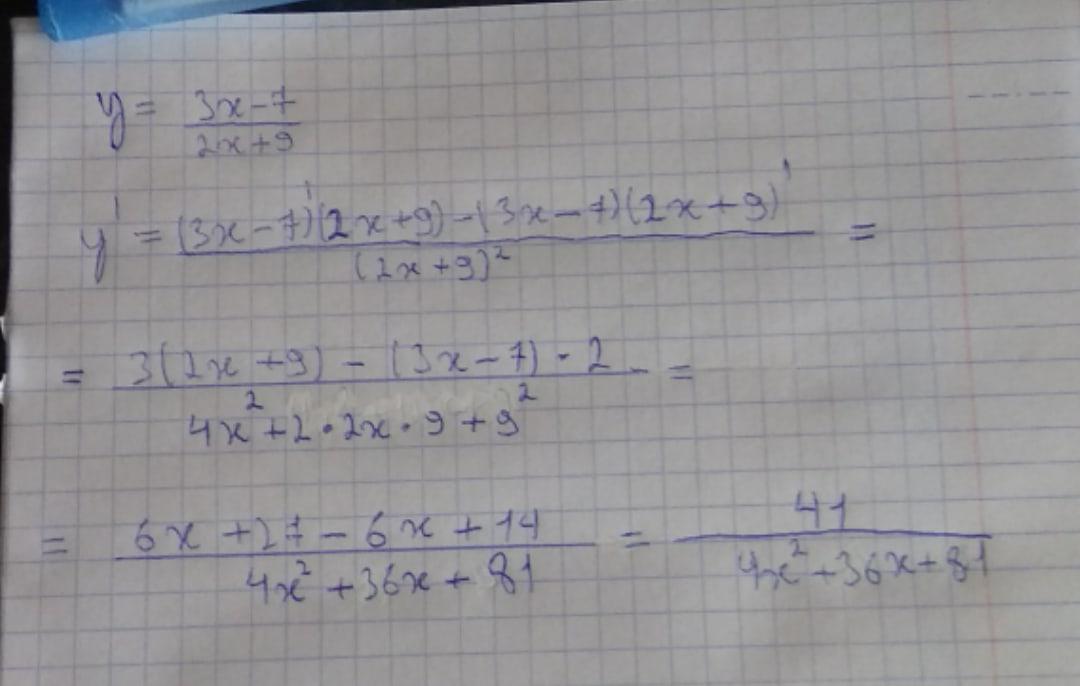
Ответ:

(41)/(4x^2+36x+81)

Пошаговое объяснение:

Решение на фотографии.

Приложения:
Вас заинтересует