Ответы
Ответ дал:
2
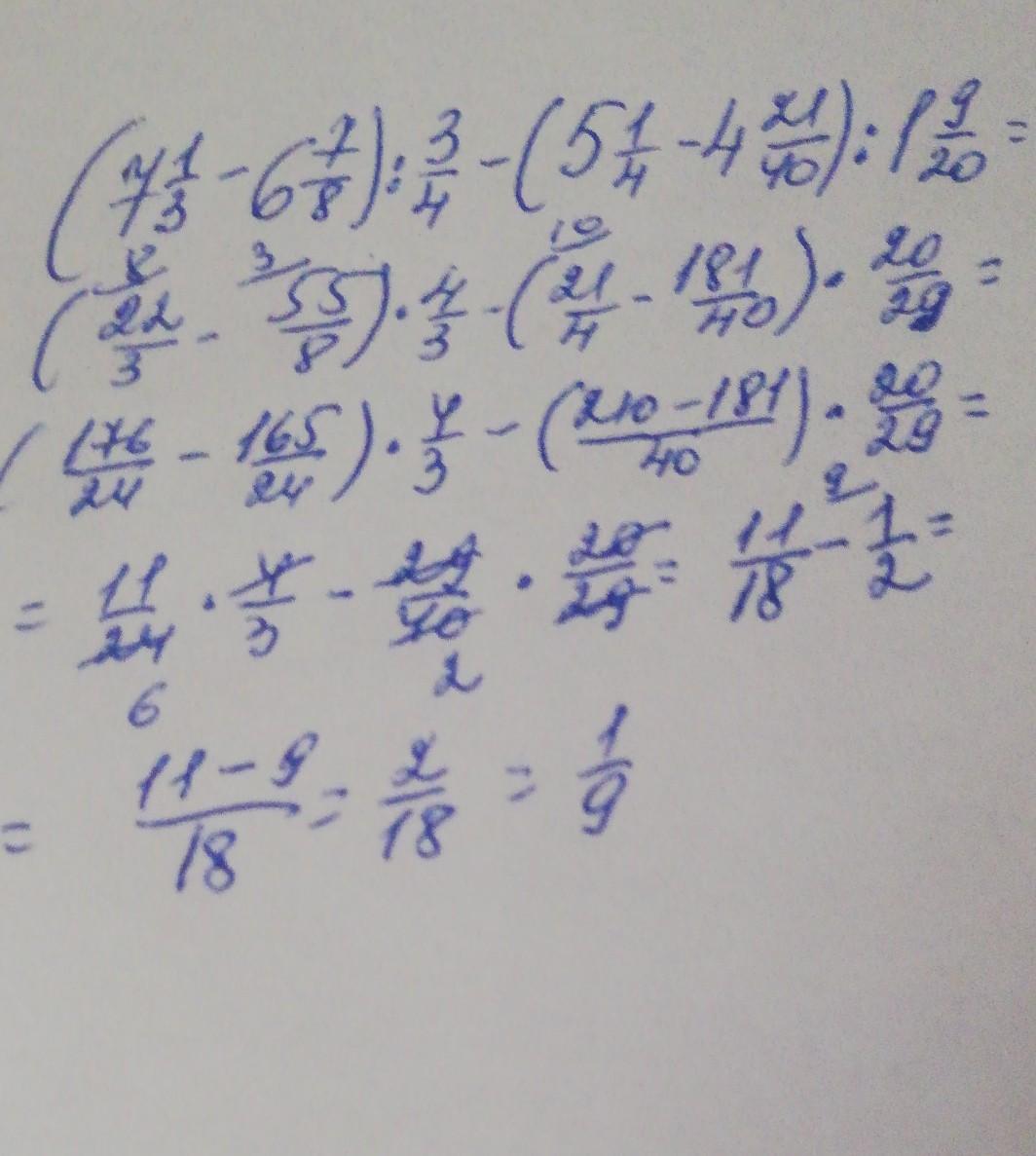
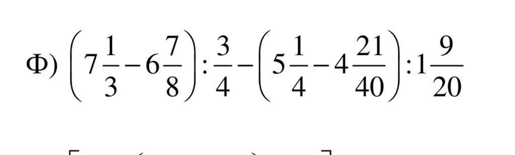
Ответ абсолютно правильный) Все по порядку)
Приложения:

Ответ дал:
1
Ответ:
1/9
Пошаговое объяснение:
Смотри фото решения выше
Приложения:

Вас заинтересует
2 года назад
2 года назад
2 года назад
2 года назад
7 лет назад
7 лет назад
9 лет назад